Einleitung
BenQ vergrößert sein Portfolio an 4K-Projektoren mit dem Gaming-Beamer X3100i. Die Auflösung wird auf 3840 x 2160 Pixel (UHD) beziffert, die Lichtausbeute soll 3300 Lumen betragen. Erzeugt wird die hohe Lichtleistung mit der bewährten 4LED-Technologie, welche die Primärfarben ohne RGB-Farbrad darstellt. Durch die schnelle Schaltweise wird der Regenbogen-Effekt (Farbblitzen) erheblich reduziert. Für filmreife Farben sorgt „Cinematic Color“ mit der vollständigen Abdeckung des DCI-P3-Farbraums. Der dynamische Kontrast wird mit 600 000:1 inklusive Lichtquellen-Dimming angegeben.
Der BenQ X3100i bringt 6,8 kg auf die Waage, wodurch er eher für den stationären Einsatz geeignet ist. Mit seiner kubistischen Form sieht er sehr ansprechend aus. Unter dem weißen Gehäuse mit schwarzer Front hat der Hersteller ein Soundsystem implementiert, das mit 10-W-Kammerlautsprechern aufwartet.
Mit seinem vertikalen Lens-Shift von 40 bis 60 % und einem Zoomobjektiv mit dem Faktor 1,3:1 bietet der BenQ X3100i ausreichend Flexibilität bei der Installation. Bereits aus einer Entfernung von 2,50 m kann ein 100-Zoll-Bild dargestellt werden. HDR-PRO unterstützt die statischen Formate HDR10 und HLG („Hybrid Log Gamma“). In Verbindung mit „SSI Dynamic Black“ können Durchzeichnung und Lichtintensität präzise justiert werden.
Das Betriebssystem Android 11.0 ermöglicht Zugriff auf zahlreiche Smartfunktionen und Apps, darunter die Bezahldienste Netflix, Prime Video, Disney+ und Apple TV+. Via Bluetooth können externe Bluetooth-Lautsprecher gekoppelt werden, die beispielsweise vor der Leinwand platziert werden.
Maßgeschneiderte visuelle und akustische Anpassungen können für ein besseres Spiel-Erlebnis sorgen. Dafür sind vier Gaming-Modi, ein Fadenkreuz auf dem Bildschirm und die Möglichkeit implementiert, vorgefertigte Profile für die Projektoreinstellungen von der BenQ-Website herunterzuladen. Der kurze Input-Lag von 4,16 ms dürfte das Highlight für jeden Gamer sein.
Den Preis beziffert der Hersteller auf 2.399 Euro. Detaillierte Informationen zu den Ausstattungsmerkmalen und den Spezifikationen finden Sie im Datenblatt des BenQ X3100i.
Lieferumfang
Der BenQ X3100i ist in einem Karton in Würfelform sicher verpackt. Neben dem Projektor befinden sich darin zwei Fernbedienungen mit Batterien, ein Wi-Fi-Stick, Standfüße für die Überkopfprojektion, ein Netzkabel, eine gedruckte Garantiekarte und eine Schnellstartanleitung.

Optik und Gestaltung
Der BenQ X3100i besitzt eine Würfelform mit abgerundeten Kanten. Während die Front in glänzender schwarzer Hochglanzoptik gestaltet ist, eingefasst von einer zarten orangen Applikation, gefallen die übrigen Seiten mit ihrem weißen Finish. Das Objektiv ist oben links in die Vorderseite eingelassen. Direkt darunter hat der Hersteller eine Streulichtblende angebracht.
Alle Anschlüsse sind auf der Rückseite eingelassen. Hinter dem Gitter, das darunter platziert ist, sind zwei Lautsprecher von treVolo verbaut, der Eigenmarke von BenQ.
Ein komplettes Bedienfeld befindet sich auf der rechten Seite, falls die Fernbedienungen mal nicht zur Hand sein sollten. Daneben sind gut zugänglich die Regler für Fokus und Zoom ins Gehäuse eingelassen. Hinter den Kunststoffgittern wird die Luft zur Kühlung eingezogen und auf der gegenüberliegenden Seite die Warmluft wieder abgeführt.
6,8 kg bringt der BenQ X3100i auf die Waage. Damit gehört er nicht mehr zu den Leichtgewichten unter den Gaming-Beamern. Für den gelegentlichen Transport zu Freunden ist er aber noch nicht zu schwer. Trotzdem halten wir ihn für die Festinstallation besser geeignet. Auf der Oberseite prangt ein runder Drehknopf, der gut zugänglich für die vertikale Bildverschiebung ist.
Auf der Unterseite können die vorderen Füße herausgedreht werden. Darüber hinaus sind drei Haltepunkte für die Deckenhalterung Ceiling Mount G3 vorhanden, die optional gegen 99 Euro Aufpreis im BenQ-Onlineshop erworben werden kann.
Die Abmessungen des BenQ X3100i betragen 272 mm x 213 mm x 259,4 mm (B x H x T).

Zusammengefasst finden wir Design, Haptik und Optik sehr gelungen. Verarbeitung und Materialqualität sind sehr gut für einen Beamer in diesem Preissegment.
Anschlüsse
Alle relevanten Schnittstellen für Gamer und Filmfans sind vorhanden. Diese befinden sich auf der Rückseite des BenQ X3100i. Dazu gehören zwei HDMI-2.0-Ports, von denen HDMI 2 eARC unterstützt. Die USB-Buchse ist für Firmware-Updates vorgesehen und dient überdies als Lesegerät für den internen Mediaplayer, wenn ein USB-Stick oder eine Festplatte daran angeschlossen ist.
Der 12-V-Trigger ist einer Motorleinwand vorbehalten, die automatisch herunter- bzw. hochfährt, sobald der Beamer ein- oder ausgeschaltet wird. Am Audio-Ausgang kann ein Kopfhörer verbunden werden, und S/PDIF dient der Audio-Signalübertragung zu einem AV-Receiver, falls dieser nicht eARC-fähig ist. Einzig auf USB-C muss verzichtet werden.
Aufstellung und Installation
BenQ macht die Aufstellung denkbar leicht. Der X3100i wird auf den Wohnzimmertisch gestellt oder überkopf an die Deckenhalterung montiert. Dank des Offsets von 110 % kann eine Position leicht unterhalb der Leinwandunterkante erfolgen beziehungsweise etwas über der Oberkante. Das Objektiv mit 1,3-fachem Zoom ist groß genug bemessen, um die Bildgröße flexibel anzupassen. Mithilfe des digitalen Zooms können Inhalte vergrößert oder verkleinert werden. Praktisch finden wir die Möglichkeit, den Beamer überkopf auf ein Regal zu stellen, falls keine Deckenhalterung infrage kommt. Zwei zusätzliche Standfüße können hierfür am Gehäuse verschraubt werden.
Die Installation ist relativ simpel. Zunächst wird der Wi-Fi-Dongle unter dem Gehäusedeckel in den dafür vorgesehenen HDMI-Port eingesteckt und mit einem kleinen USB-Kabel verbunden. Wir empfehlen, zunächst das USB-Kabel anzuschließen und den Stick erst dann in die HDMI-Schnittstelle einzustecken. Das ist deutlich einfacher und weniger fummelig als umgekehrt. Anschließend wird der Gehäusedeckel wieder aufgesetzt und verschraubt.
Der BenQ X3100i sollte im Lot aufgestellt werden, damit auf die Trapezkorrektur verzichtet werden kann. Allein auf diese Weise wird die volle UHD-Auflösung genutzt, weil die geometrische Anpassung immer verlustbehaftet ist.
Bildgröße
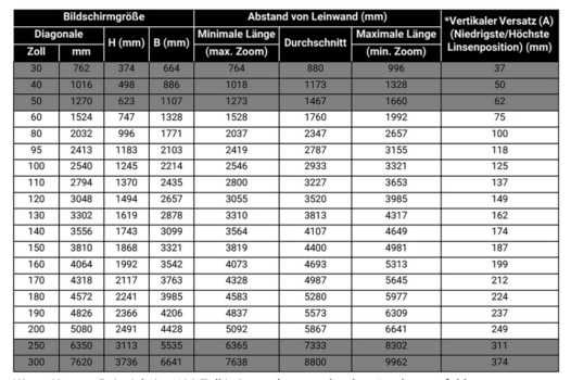
Das Objektiv mit 1,3-fachem Zoom macht es möglich, eine 2,50 m breite 16:9-Leinwand aus einer Distanz von 2,87 bis 3,75 m vollständig auszuleuchten. Für mittlere Wohnzimmer und Heimkinos ist der Projektor somit bestens geeignet. Die nachfolgende Distanztabelle zeigt die Aufstellungsmöglichkeiten detailliert für die Projektion im 16:9-Format.

Betrieb
Der BenQ X3100i läuft nach dem erstmaligen Einschalten im höchsten Lichtmodus bereits flüsterleise. Im Eco-Modus reduziert sich der Pegel noch weiter. Wie alle Projektoren erreicht er nach rund 30 Minuten seinen optimalen Arbeitspunkt. Bis dahin können sich Bildlage, Schärfe und Farben noch etwas verändern.
Die LED-Lichtquelle hat aber den Vorteil gegenüber einer UHP-Lampe, dass sie bereits nach wenigen Sekunden konsistente und natürliche Farben darstellt. Die Schärfe lässt sich präzise einstellen, sodass sich bis zum Rand ein knackscharfes Bild ergibt. Wird der Beamer nach dem Filmschauen ausgeschaltet, beträgt die Abkühlphase rund zehn Sekunden – danach ist das Gerät im Standby.
Stromverbrauch
Die maximale Leistungsaufnahme ermitteln wir mit 179 W im hohen Lichtmodus. Projektoren mit Hochdrucklampe haben wir bei vergleichbarer Lichtausbeute schon mit über 500 W Energieverbrauch gemessen. Damit ist der BenQ X3100i für den Dauereinsatz wie geschaffen. Im Standby ermitteln wir 0,2 W.
| Bildmodus | Maximal | Standby |
| Lampenleistung: „Hoch“ | 179 W | 0,2 W |
*Stromverbrauch in Watt / Stunde






















